您当前的位置: 首页> 重要进展

发现纳米金属机械稳定性的反常晶粒尺寸效应

信息来源:纳米金属材料研究部        更新时间:2019/4/1


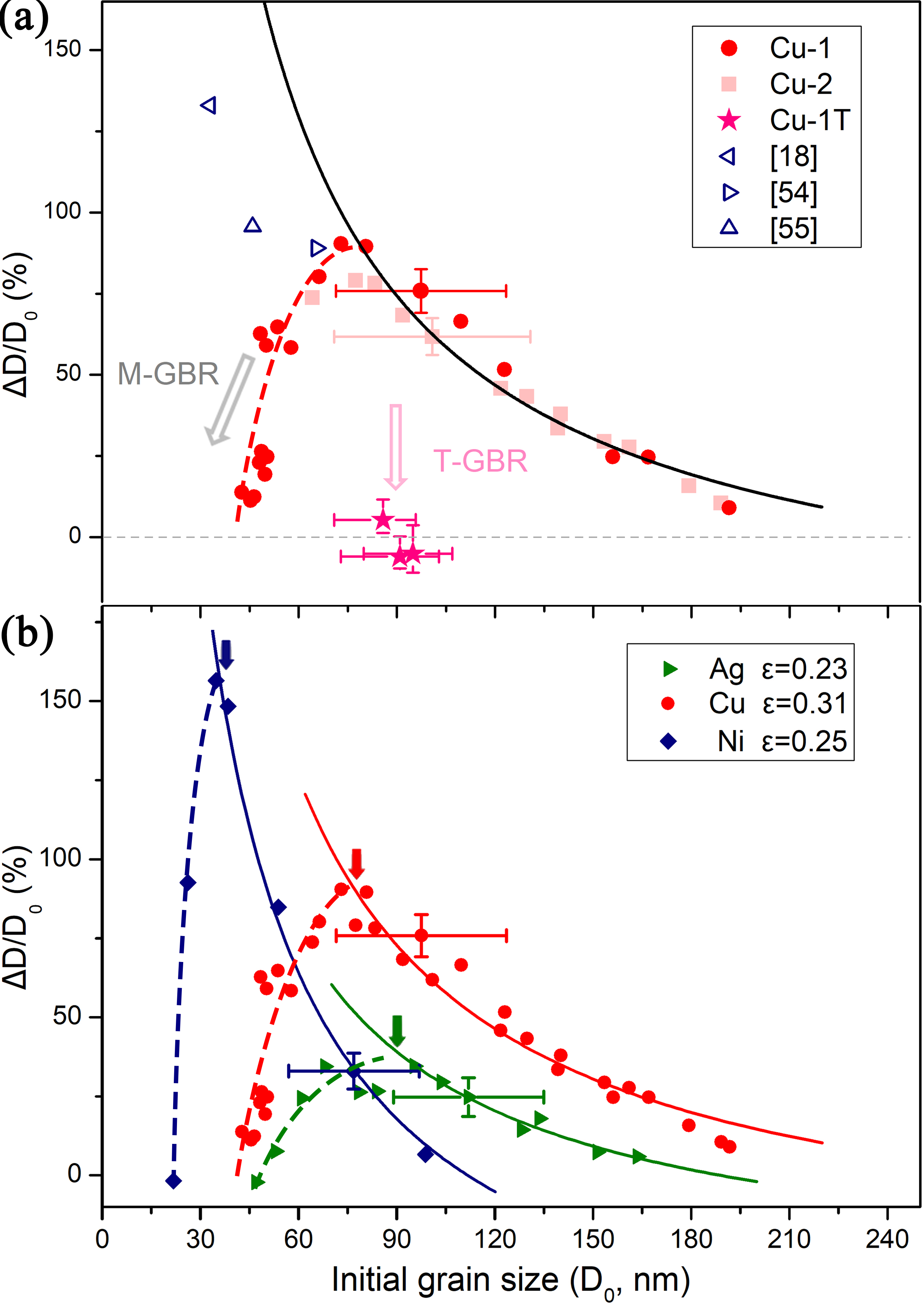
纳米金属的晶界在机械变形作用下容易发生晶界迁移并伴随晶粒长大,使得纳米材料发生软化,这种现象在拉伸、压缩、压痕等变形条件下均有大量实验和相关计算模拟结果的报道。机械驱动晶界迁移不仅破坏材料的性能,也给利用塑性变形法制备纳米晶带来巨大困难。尽管目前对于机械驱动晶界迁移的根本机制还存在争议,但相关模型和计算模拟均表明机械驱动晶界迁移伴随着明显的晶界区原子重组和位错运动,这说明该过程与晶界状态有密切关系。一般认为,力作用下的晶界迁移速率与晶界能、晶界的曲率、晶界上的有效台阶等相关。晶粒尺寸越小,晶界曲率越大,迁移速率加快。

最近,沈阳材料科学国家研究中心、“万人计划”科学家工作室卢柯研究员、李秀艳研究员在这一问题上取得新的进展。他们发现对于塑性变形制备的纳米晶Cu、Ag、Ni样品,准静态拉伸变形时,随着晶粒尺寸从亚微米减小至纳米量级,晶界迁移先逐渐增强,而当晶粒尺寸小于临界值时,晶界迁移逐渐受到抑制,这一结果颠覆了传统的认识,与其在纳米晶热稳定性晶粒尺寸反常效应的相关发现一致。对于Cu、Ag、Ni而言,实验中临界晶粒尺寸分别约为75、80、38 nm。研究表明临界尺寸以下纳米晶在塑性变形过程中其晶界容易发生应变诱导晶界驰豫,而这种晶界驰豫抑制了晶界迁移行为,使得纳米晶变形机制由晶界迁移逐渐转变为不全位错运动形成变形孪晶或层错为主导,纳米晶机械稳定性增强。该研究还发现,采用合适退火工艺对Cu中临界尺寸附近未发生机械驰豫的纳米晶进行热处理,使其晶界发生热驰豫,同时保持晶粒尺寸基本稳定,在后续进一步拉伸变形过程中其晶界迁移明显受到抑制,晶粒表现出更高的机械稳定性。

该发现说明与晶界偏聚效应类似,晶粒尺寸相关的晶界驰豫效应能明显对机械驱动晶界迁移起到抑制作用,这为提高纳米晶机械稳定性提供了新的方法,同时也为发展纳米晶制备工艺提供了重要参考。

该研究得到科技部纳米科技重点专项和国家自然基金资助。于2019年3月29日Physical Review Letters杂志在线发表。

Figure (a) Variations of the measured relative grain size change (Δ𝐷/𝐷0) as a function of initial grain size (𝐷0) for Cu after tension. M-GBR and T-GBR represent mechanical-induce and thermal-induce GB relaxation effects. (b) Variations ofD𝐷/𝐷0as a function of 𝐷for Ag (strain: 0.23), Cu (strain: 0.31), and Ni (strain: 0.25), respectively.



Researcher
Developed by SYNL. Copyright © 沈阳材料科学国家研究中心. 辽ICP备05005387号-9